-
HSV 색공간과 인간의 시각 인지 과정과의 관계공부/Digital Image Processing 2020. 4. 18. 18:22
인간의 시각시스템을 잘 이해하기위해서는
우선, 인간의 눈이 어떻게 시각정보를 받아들이며, 어떻게 뇌로 신호를 보내는지에 대한 이해가 필요하다.

출처: 위키피디아 인간의 눈은 Iris(홍채)와 Pupil(동공)을 보호하는 Cornea(각막)라는 투명한 막으로 덮여있다.
이 Cornea는 눈 속으로 시각정보가 온전히 들어오도록 빛을 모아주는 역할도 한다.
Iris(홍채)는 근육조직이며 Iris의 가운데에는 빛을 눈의 뒷부분으로 통과시키는 구멍이 뚫려있는데,
이 구멍을 Pupil(동공)이라고 한다. Iris는 이 Pupil의 크기를 조절하여 통과되는 빛의 양을 조절한다.
Pupil을 통과한 빛은 Lens(수정체)라는 볼록렌즈를 통하게 되는데, 이로 인해 반전된 상이 Retina(망막)에 맺히게 된다.
Retina에는 약 9000만개의 Rod(간상세포)와 약 600만개의 Cone(원추세포)들 같은 시세포(광수용체)들이 무수히 많이 분포되어있으며
Rod는 약한 빛에 민감하며, 명암과 물체의 형태등을 구분하는 시각정보를 받아들인다. 색깔은 구별하지 못한다.
Cone은 밝은 빛에 민감하며, 명암, 물체의 형태, 색깔 모두를 감각할 수 있다.
원추세포의 종류는 세가지인데,
L(Long-wavelength)원추세포, M(Medium-wavelength)원추세포, S(Short-wavelength)원추세포 가 있다.
원추세포의 명칭에서도 알 수 있듯이 파장별로 민감도가 각각 다른 원추세포가 존재한다는 뜻이다.

L,M,S원추세포의 파장별 세포의 반응 민감도, 출처: 위키피디아 색깔에 대한 인간의 인지는, 망막에 맺힌 상에 대해 L,M,S원추세포별 반응 비율에 따라 그 인지가 이루어지는것으로 알려져있다.
다음으로, HSV 색공간에 대해 정리해 보겠다.
색공간에는 다양한 종류(RGB, CMYK, HSV, CIE...)가 있지만, 색깔을 구분하는데 있어 HSV색공간은 그 표현법이 인간이 색깔을 인지하는데에 있어 매우 직관적이며 색깔을 다루는데에 많이 사용된다. 밝은 빨간색과 어두운 빨간색, 연한빨간색과 진한빨간색 등, 인간은 HSV색공간과 밀접하게 색을 인지한다.

HSV 색공간, 출처: 위키피디아 원추세포는 Red, Green, Blue에 민감하게 반응하는 3가지 종류의 원추세포(L,M,S)로 이루어져있는데, 위의 그래프에서 보듯 각 색깔에 따른 반응은 non-linear하기 때문에 Young-Helmholtz 이론에 의하여 색깔의 구분이 가능하다.
즉, RGB색공간이 인간의 망막에서 빛을 받아들이는 방법을 표방한 색공간이라는 것이다. 따라서, 다양한 display 장비나 camera 장비들은 RGB색공간을 사용하여 색을 표현하거나 받아들이도록 설계되어왔다.
하지만 문제는 이러한 RGB색공간이, 본질적으로는 자연적인 색의 특성이나 인간의 색깔에대한 인지 원리와 어떠한 관계도 없다는데 있다. RGB색공간은 빛의 실제 특성보다는 구현에 그 중점을 두었기 때문에, 다양한 수학적 처리(perceptually linear gradient interpolation, color correction, brightness and saturation operations, ....)에 색공간을 활용하기에는 적합하지 않다.
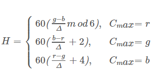
반면, HSV색공간의 경우에는 인간의 시력이 색을 구분하는 방식과 매우 밀접하게 설계된 색공간이므로, 인간의 시각적 인지를 다루는 색공간으로 적합하다. RGB에서 HSV색공간으로 변환하는 식은 다음과 같다.



출처:
1. https://labs.imaginea.com/rbg-vs-hsv-for-computer-vision/
RGB v/s HSV for Computer Vision
Computer vision is an interdisciplinary scientific field that deals with how computers can be made to gain high-level understanding from digital images or videos. If we consider Digital images then it can be represented in different color space and models.
labs.imaginea.com
2. Vadivel, A. & Sural, Shamik & Majumdar, Arun. (2005). Human color perception in the HSV space and its application in histogram generation for image retrieval. Proceedings of SPIE - The International Society for Optical Engineering. 10.1117/12.586823.
3.
Yining Deng, B. S. Manjunath, C. Kenney, M. S. Moore and H. Shin, "An efficient color representation for image retrieval," in IEEE Transactions on Image Processing, vol. 10, no. 1, pp. 140-147, Jan. 2001.
doi: 10.1109/83.8924504.
http://journal.dcs.or.kr/_common/do.php?a=full&b=12&bidx=1138&aidx=14709
'공부 > Digital Image Processing' 카테고리의 다른 글
Non local means 알고리즘, MATLAB 구현 코드 포함 (0) 2020.07.16 c++ 로 구현하는 간단한 CNN (0) 2019.12.12